Vừa rồi tôi có buổi trao đổi rất hay với hai người bạn kỳ cựu trong nghề — một bên chuyên về kiểm định, một bên chuyên về tư vấn thiết kế.

Càng nói chuyện, tôi càng thấm thía một điều: Thiết kế một hệ thống nhóm thang máy (elevator battery) thành công không đơn giản là chọn cái cabin cho đẹp rồi gán đại một con số tốc độ. Đó là một bài toán kỹ thuật tổng thể đòi hỏi sự Nghiên cứu, Dự tính và Phối hợp cực kỳ khắt khe.

Dưới đây là 6 nút thắt mà các đơn vị tư vấn và kiến trúc sư bắt buộc phải tính kỹ nếu muốn có một cấu hình "chuẩn bài":

1. Phân tích lưu lượng (Traffic Study) – Xương sống của thiết kế

Bạn không thể thiết kế thang nếu không hiểu dòng người di chuyển thế nào. Phải tính toán được các thông số:

  • Chế độ cao điểm: Cao điểm chiều lên (up-peak), chiều xuống (down-peak) và di chuyển liên tầng.
  • Chỉ số kỹ thuật: Khả năng vận chuyển trong 5 phút, khoảng thời gian chờ (Interval) và thời gian hành trình khứ hồi (RTT). Không có bước này, hệ thống chắc chắn sẽ "tê liệt" vào giờ cao điểm.

2. Lựa chọn công nghệ phù hợp

Phải cân nhắc giữa Thang có phòng máy (MR) hay Không phòng máy (MRL); Thang quan sát hay thang tiêu chuẩn; Hệ thống quản lý lưu lượng Multiplex hay đơn lẻ... Mỗi lựa chọn đều tác động trực tiếp đến hiệu suất vận hành, diện tích hố thang (core) và mức tiêu thụ năng lượng của tòa nhà.

3. Thiết kế Cơ và Điện (Mechanical & Electrical)

Đừng để nước đến chân mới nhảy. Những chi tiết này phải chuẩn từ bản vẽ sơ phác:

  • Hố thang & Kết cấu: Tường chịu lực, hố chung (common shaft) hay thiết kế kiểu đối trọng hông (backpack).
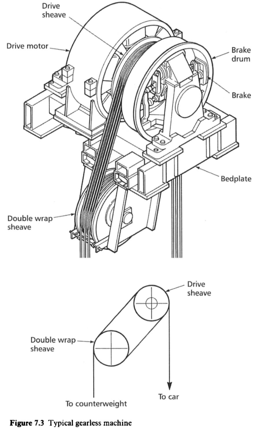
  • Truyền động: Tỷ lệ truyền (mouflage), máy kéo không hộp số (Gearless), động cơ đồng bộ (PMSM) hay không đồng bộ.
  • Hệ điều hành: Biến tần (inverter), điều khiển nhóm (group control)... Cấu hình tốt ngay từ đầu sẽ tránh được "ác mộng" khi vận hành sau này.

4. Khả năng tiếp cận & Trải nghiệm người dùng (UX)

Thang máy phải trực quan và bao trùm. Độ rộng cửa, vị trí bảng điều khiển (COP), hệ thống hiển thị, tín hiệu tầng... tất cả phải đồng bộ với luồng di chuyển của người đi bộ, thang cuốn và băng chuyền trong kiến trúc tổng thể.

5. Tối ưu hiệu suất năng lượng

Một hệ thống thang hiện đại phải là một hệ thống "biết tiết kiệm":

  • Sử dụng động cơ nam châm vĩnh cửu (PMSM) hiệu suất cao.
  • Hệ thống thu hồi năng lượng (Regeneration).
  • Thuật toán điều phối cuộc gọi thông minh: Điều khiển tập hợp (collective), chọn lọc (selective) hay điều khiển đích (Destination Control System - DCS).

6. Bảo trì và Tính kế thừa (Sustainability)

Bạn phải tính trước cho 15-20 năm tới:

  • Khả năng tích hợp hệ thống giám sát/BMS.
  • Sử dụng giao thức mở (Open Protocols) để không bị "bắt chẹt" khi thay thế linh kiện.
  • Đảm bảo nguồn linh kiện thay thế (PDR) luôn sẵn có. Mục tiêu cuối cùng là hệ thống phải luôn sẵn sàng (availability) ở mức cao nhất trong nhiều thập kỷ.

Kết luận của tôi: Thang máy không chỉ là cái hộp vận chuyển người theo chiều đứng. Nó là một cơ sở hạ tầng chiến lược quyết định sự sống còn của toàn bộ tòa nhà. Một hệ thống thang thành công phải: Mượt mà – Tin cậy – Hiệu quả – Và không lỗi thời.

Bạn chọn cách làm "cho xong" hay chọn cách làm "chuẩn kỹ thuật"?